全球范围内,城市流浪猫数量管理一直是一个重要课题。与流浪猫相关的投诉包括公共卫生、公众滋扰、生态影响、人畜健康以及流浪猫自身的动物福利等。因此,管理部门有必要采取干预措施以控制流浪猫数量以期减少其带来的相关问题。由于流浪猫与人类的互动及其自身特征,流浪猫数量管理方法一直以来存有争议。了解公众对流浪猫的态度及其数量管理的看法则对制定管理策略十分重要,可为城市流浪动物的管理提供科学建议。
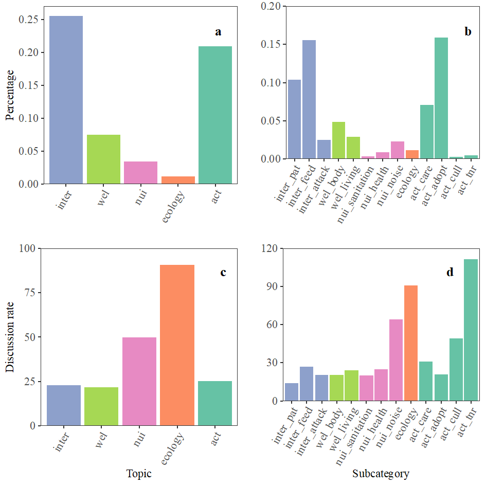
本研究课题使用微博用户生成内容,分析公众对流浪猫的看法。研究发现,流浪猫话题讨论主要可分为五个主题:(1)人与流浪猫的互动(2)流浪猫自身动物福利,(3)公共滋扰,(4)生态影响,(5)未来应采取的行动。从微博帖子数量来看,主题1人与流浪猫互动和主题5未来应采取的行动帖子数量最多,分别占总数的25.5%和20.9%。主题2流浪猫自身动物福利,主题3公共滋扰和主题4生态影响相关帖子数较少,分别占总数的7.5%、3.4%和1.1%。从讨论度来看(平均单个帖子的回复、点赞、转发总数),主题4生态影响和主题3公共滋扰讨论度最高,分别达到90.7和49.8(图1)。
对不同讨论子话题的相关性分析发现,投食流浪猫与呼吁关爱流浪猫呈负相关关系,采取致死控制手段和流浪猫的生态影响呈正相关关系。除此之外,对帖子的情感倾向分析表明,流浪猫攻击人类、公共卫生、人畜健康、流浪猫扰民、生态影响、致死控制手段相关子话题的情感倾向为消极。人与流浪猫互动、呼吁关爱流浪猫、流浪猫领养、捕捉-绝育-放归控制手段相关子话题的情感倾向为积极(图2)。
本文主要结论如下:(1)城市居民中存在一些不负责任的喂养流浪猫行为;(2)公众对流浪猫造成的生态影响的看法不同;(3)捕捉-绝育-放归的管理方法在公众讨论中获得较高程度的支持;(4)对流浪猫生态影响认识较高的群体更容易支持管理中采用致死控制手段。基于以上主要结果,本文提出如下建议:(1)管理政策应致力于向(潜在的)流浪猫饲养者传达不负责任的喂养行为可能造成的负面影响;(2)开展“生态意识”活动,提高公众对流浪猫生态影响的认识或将有助于提高致死管理手段的支持率;(3)管理部门有必要进一步了解公民对不同具体管理方案的看法,并做出相应的决策。
研究成果以“Public Opinions on Stray Cats in China, Evidence from Social Media Data”为题。发表在中国科学院农林科学2区期刊Animals上(JCR Q1,IF=3.2)。我院风景园林硕士研究生徐佳苹为文章第一作者,导师蒋爱伍为文章通讯作者。
原文连接:https://doi.org/10.3390/ani13030457

图1.流浪猫相关话题不同主题的帖子数量与讨论度。主题1人与流浪猫的互动(接近流浪猫,投喂流浪猫,流浪猫攻击人类),主题2流浪猫自身动物福利(流浪猫身体状况,流浪猫居住状况),主题3公共滋扰(公共卫生,人畜健康,流浪猫扰民),主题4生态影响,主题5未来应采取的行动(呼吁关爱流浪猫,呼吁领养,致死控制手段,捕捉-绝育-放归控制手段)。

图2.流浪猫帖子相关子话题的情感倾向。